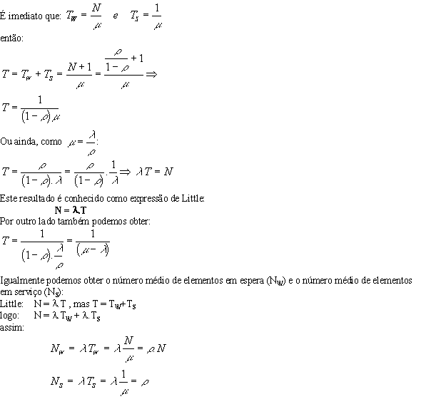
Teória de Filas de EsperaAs filas de espera são uma necessidade sempre que o número de clientes é superior ao número de servidores. Como o servidor demora algum tempo a atender cada cliente (tempo de serviço), em muitas situações os clientes vão encontrar o servidor ocupado e terão de aguardar em fila de espera (FIFO).Embora o estudo de sistemas FILA/SERVIDOR se aplique em inúmeras áreas, tem alguma importância no estudo do comportamento das redes de computadores. Numa rede de computadores podemos encontrar filas de espera em quase todos os níveis, desde a comutação de “tramas” na camada de ligação lógica até aos servidores de aplicação no nível 7. A Teoria das Filas de Espera (T.F.E.) é uma ferramenta importante que nos permite analisar e prever o comportamento de uma variada gama de elementos comuns em redes de computadores. Numa fase posterior será abordada a aplicação desta teória às redes comutadas, que constituem verdadeiras redes de filas de espera. Para efectuar uma análise teórica de uma fila de espera teremos de entrar em consideração com diversos tipos de parâmetros que a caracterizam. ![]() Chegadas e ServiçosUm dos aspectos que dificulta a modelização das filas de espera é o carácter aleatório das chegadas de clientes e as variações que podem existir nos tempos de serviço.Temos de assumir determinados tipos de distribuição de probabilidades para os tempos entre chegadas e tempos de serviço. Os valores A e B das notações referidas têm valores que representam a distribuição a utilizar. O valor M representa uma distribuição exponencial negativa dos tempos conhecida por Markov ou Poisson: No gráfico seguinte está representada a distribuição de probabilidades de chegarem n clientes num intervalo de 1 segundo quando a média é de 4 clientes por segundo. ![]() Este tipo de distribuição tem uma característica que será adiante usada: o desvio padrão é igual à média. Muitas vezes o tempo de serviço é constante, nesse caso usa-se o valor D (Deterministico), obviamente neste caso o desvio padrão é zero. Os tipos de sistema de fila mais importantes para as redes de computadores são M/M/1 e M/D/1. São geralmente sistemas com um único prestador de serviços. Quando existem variações importantes nos tempo de serviço (Ex.: servidor de ficheiros) devemos usar o modelo M/M/1. Se os tempos de serviço são constantes (Ex.: comutador de pacotes de comprimento fixo) devemos usar o modelo M/D/1. ![]() ![]() Ocupação média da fila de esperaO cálculo da ocupação média da fila de espera pode ser um parâmetro importante para o dimensionamento da mesma, temos suposto que a fila tem capacidade infinita o que não é praticável num sistema real.Designando por N o número de elementos na fila podemos escrever que: ![]() Atraso médio no sistemaO atraso médio no sistema (T) é o tempo que decorre desde que um cliente entra no sistema até que sai do mesmo (servido).Podemos decompor o atraso médio no sistema numa componente de espera na fila (TW) e uma componente de tempo de serviço (TS). ![]() Expressão de Pollazeck-KhinchineEsta expressão permite determinar a ocupação média do sistema em função do desvio padrão e média do tempo de serviço:![]() Filas FinitasNa prática as filas não podem crescer livremente, supondo uma capacidade finita N0, temos:![]() |